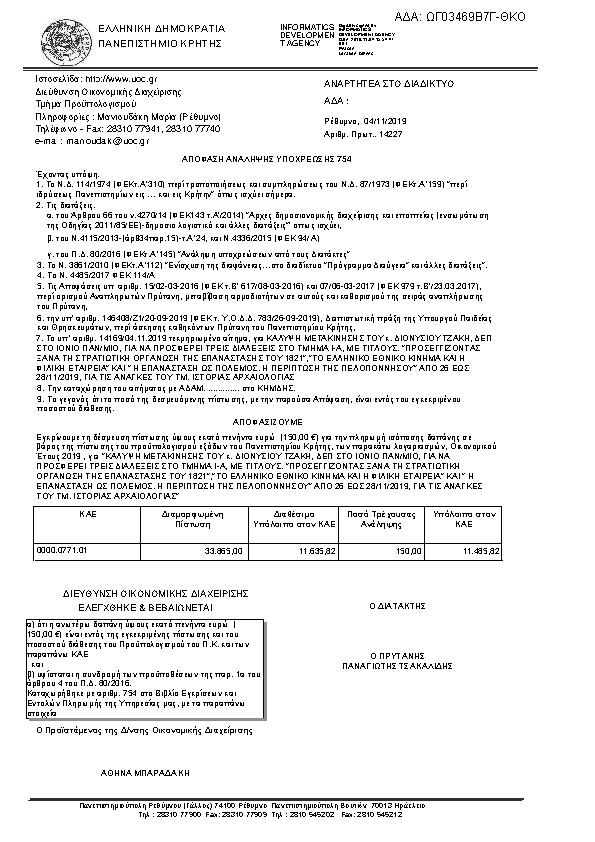
ΑΠΟΦΑΣΗ ΑΝΑΛΗΨΗΣ ΥΠΟΧΡΕΩΣΗΣ 754ΑΔΑ: ΩΓ03469Β7Γ-ΘΚΟ

Πρώτη σελίδα του εγγράφου

Η απόφαση με ΑΔΑ ΩΓ03469Β7Γ-ΘΚΟ δημοσιεύθηκε από την υπηρεσία ΠΑΝΕΠΙΣΤΗΜΙΟ ΚΡΗΤΗΣ » ΔΙΕΥΘΥΝΣΗ ΟΙΚΟΝΟΜΙΚΗΣ ΔΙΑΧΕΙΡΙΣΗΣ στις 2019-11-04. Ο τύπος της απόφασης είναι Άγνωστος και την υπέγραψε ο/η an unknown person.

Τακτικός Προϋπολογισμός
754
ΠΡΑΞΗ
Επιστροφή στην προηγούμενη σελίδα