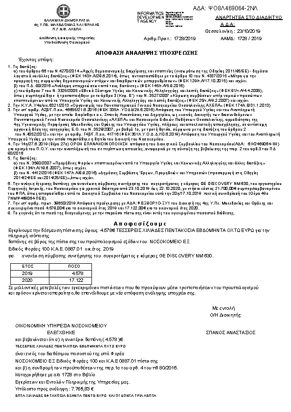
ΑΠΟΦΑΣΗ ΑΝΑΛΗΨΗΣ ΔΕΣΜΕΥΣΗΣ ΠΙΣΤΩΣΗΣ ΚΑΕ 0887.01 Φ100ΑΔΑ: ΨΟ8Λ469064-2ΝΛ

Πρώτη σελίδα του εγγράφου

Η απόφαση με ΑΔΑ ΨΟ8Λ469064-2ΝΛ δημοσιεύθηκε από την υπηρεσία ΠΑΝΕΠΙΣΤΗΜΙΑΚΟ ΓΕΝΙΚΟ ΝΟΣΟΚΟΜΕΙΟ ΘΕΣΣΑΛΟΝΙΚΗΣ ΑΧΕΠΑ » ΔΙΟΙΚΗΣΗ στις 2019-10-23. Ο τύπος της απόφασης είναι Άγνωστος και την υπέγραψε ο/η an unknown person.

Τακτικός Προϋπολογισμός
1728
ΠΡΑΞΗ
Επιστροφή στην προηγούμενη σελίδα