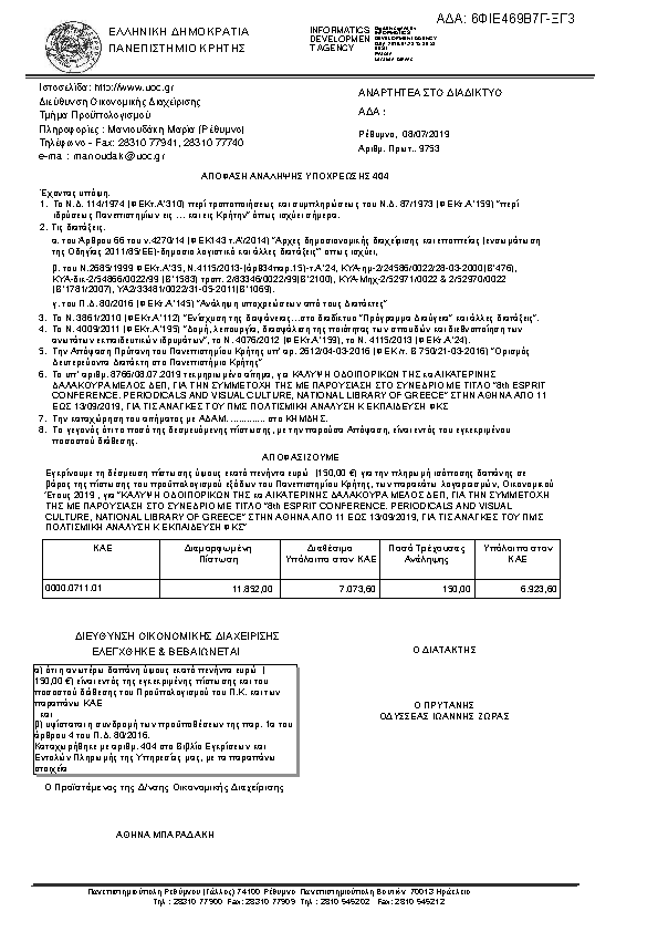
ΑΠΟΦΑΣΗ ΑΝΑΛΗΨΗΣ ΥΠΟΧΡΕΩΣΗΣ 404ΑΔΑ: 6ΦΙΕ469Β7Γ-ΞΓ3

Πρώτη σελίδα του εγγράφου

Η απόφαση με ΑΔΑ 6ΦΙΕ469Β7Γ-ΞΓ3 δημοσιεύθηκε από την υπηρεσία ΠΑΝΕΠΙΣΤΗΜΙΟ ΚΡΗΤΗΣ » ΔΙΕΥΘΥΝΣΗ ΟΙΚΟΝΟΜΙΚΗΣ ΔΙΑΧΕΙΡΙΣΗΣ στις 2019-07-08. Ο τύπος της απόφασης είναι Άγνωστος και την υπέγραψε ο/η an unknown person.

Τακτικός Προϋπολογισμός
404
ΠΡΑΞΗ
Επιστροφή στην προηγούμενη σελίδα