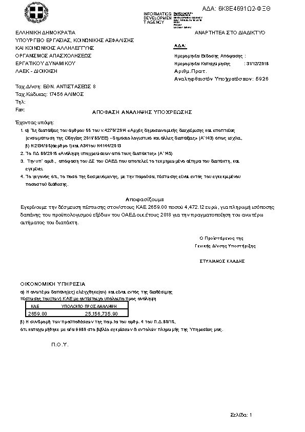
ΑΝΑΛΗΨΗ 2018ΑΔΑ: 6Κ8Ε4691Ω2-ΦΞΘ

Πρώτη σελίδα του εγγράφου

Η απόφαση με ΑΔΑ 6Κ8Ε4691Ω2-ΦΞΘ δημοσιεύθηκε από την υπηρεσία ΟΡΓΑΝ.ΑΠΑΣΧΟΛΗΣΕΩΣ ΕΡΓΑΤΙΚΟΥ ΔΥΝΑΜΙΚΟΥ (ΟΑΕΔ) » Β΄ ΓΕΝΙΚΗ ΔΙΕΥΘΥΝΣΗ ΥΠΟΣΤΗΡΙΞΗΣ στις 2018-12-31. Ο τύπος της απόφασης είναι Άγνωστος και την υπέγραψε ο/η .

Ίδια Έσοδα
5926
ΠΡΑΞΗ
Επιστροφή στην προηγούμενη σελίδα