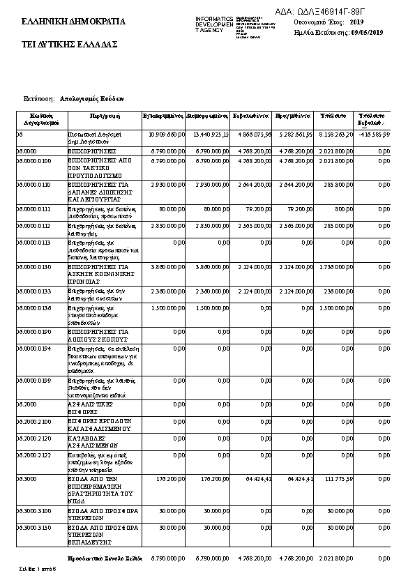
ΑΠΟΛΟΓΙΣΜΟΣ ΕΣΟΔΩΝ ΕΩΣ 7/5/2019ΑΔΑ: ΩΔΛΞ46914Γ-89Γ

Πρώτη σελίδα του εγγράφου

Η απόφαση με ΑΔΑ ΩΔΛΞ46914Γ-89Γ δημοσιεύθηκε από την υπηρεσία ΤΕΙ Δυτικής Ελλάδας » ΠΡΟΥΠΟΛΟΓΙΣΜΟΥ ΔΑΠΑΝΩΝ ΚΑΙ ΚΟΙΝΟΤΙΚΟΥ ΠΛΑΙΣΙΟΥ ΣΤΗΡΙΞΗΣ στις 2019-05-09. Ο τύπος της απόφασης είναι Άγνωστος και την υπέγραψε ο/η an unknown person.

Απολογισμός
ΠΡΑΞΗ
Επιστροφή στην προηγούμενη σελίδα