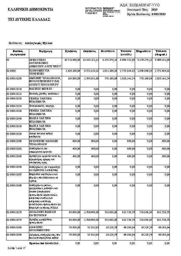
ΑΠΟΛΟΓΙΣΜΟΣ ΕΞΟΔΩΝ ΕΩΣ 07/05/2019ΑΔΑ: 6Ω0Δ46914Γ-ΥΥΟ

Πρώτη σελίδα του εγγράφου

Η απόφαση με ΑΔΑ 6Ω0Δ46914Γ-ΥΥΟ δημοσιεύθηκε από την υπηρεσία ΤΕΙ Δυτικής Ελλάδας » ΠΡΟΥΠΟΛΟΓΙΣΜΟΥ ΔΑΠΑΝΩΝ ΚΑΙ ΚΟΙΝΟΤΙΚΟΥ ΠΛΑΙΣΙΟΥ ΣΤΗΡΙΞΗΣ στις 2019-05-09. Ο τύπος της απόφασης είναι Άγνωστος και την υπέγραψε ο/η an unknown person.

Απολογισμός
ΠΡΑΞΗ
Επιστροφή στην προηγούμενη σελίδα