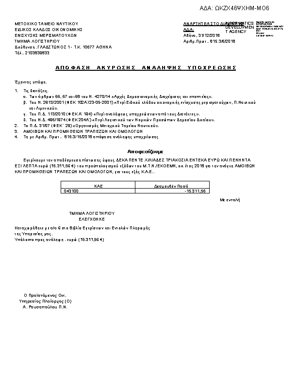
ΑΠΟΦΑΣΗ ΑΚΥΡΩΣΗΣ ΑΝΑΛΗΨΗΣ ΥΠΟΧΡΕΩΣΗΣΑΔΑ: ΩΚΖΧ46ΨΧΗΜ-ΜΟ6

Πρώτη σελίδα του εγγράφου

Η απόφαση με ΑΔΑ ΩΚΖΧ46ΨΧΗΜ-ΜΟ6 δημοσιεύθηκε από την υπηρεσία ΜΕΤΟΧΙΚΟ ΤΑΜΕΙΟ ΝΑΥΤΙΚΟΥ » ΜΤΝ/ΕΙΔΙΚΟΣ ΚΛΑΔΟΣ ΟΙΚΟΝΟΜΙΚΗΣ ΕΝΙΣΧΥΣΗΣ ΜΕΡΙΜΑΤΟΥΧΩΝ ΜΕΤΟΧΙΚΟΥ ΤΑΜΕΙΟΥ ΝΑΥΤΙΚΟΥ στις 2018-12-31. Ο τύπος της απόφασης είναι Άγνωστος και την υπέγραψε ο/η an unknown person.

Ίδια Έσοδα
ΠΡΑΞΗ
Επιστροφή στην προηγούμενη σελίδα