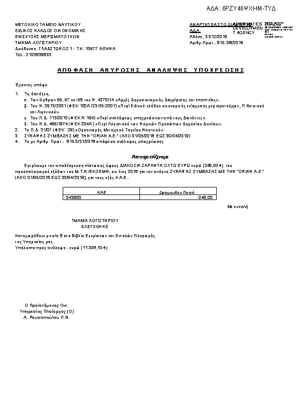
ΑΠΟΦΑΣΗ ΑΚΥΡΩΣΗΣ ΑΝΑΛΗΨΗΣ ΥΠΟΧΡΕΩΣΗΣΑΔΑ: 6ΡΖΥ46ΨΧΗΜ-ΤΥΔ

Πρώτη σελίδα του εγγράφου

Η απόφαση με ΑΔΑ 6ΡΖΥ46ΨΧΗΜ-ΤΥΔ δημοσιεύθηκε από την υπηρεσία ΜΕΤΟΧΙΚΟ ΤΑΜΕΙΟ ΝΑΥΤΙΚΟΥ » ΜΤΝ/ΕΙΔΙΚΟΣ ΚΛΑΔΟΣ ΟΙΚΟΝΟΜΙΚΗΣ ΕΝΙΣΧΥΣΗΣ ΜΕΡΙΜΑΤΟΥΧΩΝ ΜΕΤΟΧΙΚΟΥ ΤΑΜΕΙΟΥ ΝΑΥΤΙΚΟΥ στις 2018-12-31. Ο τύπος της απόφασης είναι Άγνωστος και την υπέγραψε ο/η an unknown person.

Ίδια Έσοδα
ΠΡΑΞΗ
Επιστροφή στην προηγούμενη σελίδα