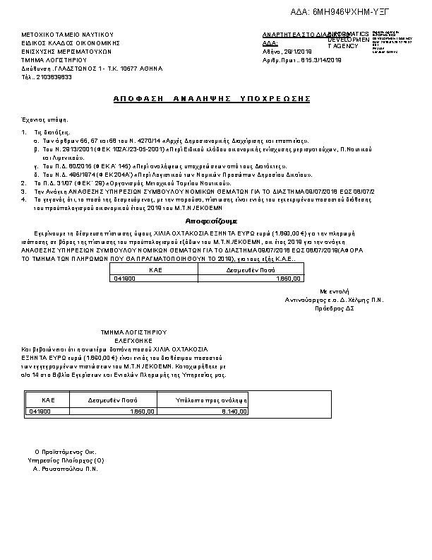
ΑΝΑΘΕΣΗ ΥΠΗΡΕΣΙΩΝ ΣΥΜΒΟΥΛΟΥ ΝΟΜΙΚΩΝ ΘΕΜΑΤΩΝ ΓΙΑ ΤΟ ΔΙΑΣΤΗΜΑ 09/07/2018 ΕΩΣ 08/07/2019 (ΑΦΟΡΑ ΤΟ ΤΜΗΜΑ ΤΩΝ ΠΛΗΡΩΜΩΝ ΠΟΥ ΘΑ ΠΡΑΓΜΑΤΟΠΟΙΗΘΟΥΝ ΤΟ 2019)ΑΔΑ: 6ΜΗ946ΨΧΗΜ-ΥΞΓ

Πρώτη σελίδα του εγγράφου

Η απόφαση με ΑΔΑ 6ΜΗ946ΨΧΗΜ-ΥΞΓ δημοσιεύθηκε από την υπηρεσία ΜΕΤΟΧΙΚΟ ΤΑΜΕΙΟ ΝΑΥΤΙΚΟΥ » ΜΤΝ/ΕΙΔΙΚΟΣ ΚΛΑΔΟΣ ΟΙΚΟΝΟΜΙΚΗΣ ΕΝΙΣΧΥΣΗΣ ΜΕΡΙΜΑΤΟΥΧΩΝ ΜΕΤΟΧΙΚΟΥ ΤΑΜΕΙΟΥ ΝΑΥΤΙΚΟΥ στις 2019-01-29. Ο τύπος της απόφασης είναι Άγνωστος και την υπέγραψε ο/η an unknown person.

Ίδια Έσοδα
ΠΡΑΞΗ
Επιστροφή στην προηγούμενη σελίδα