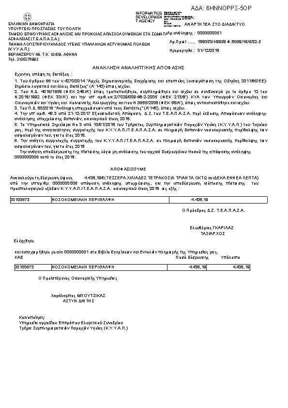
ΑΠΟΦΑΣΗ ΑΝΑΚΛΗΣΗΣ ΑΝΑΛΗΨΗΣ ΥΠΟΧΡΕΩΣΗΣ ΚΥΥΑΠ/ΤΕΑΠΑΣΑ ΚΑΕ 0673 ΠΟΣΟΥ 4.438,19ΕΥΡΩΑΔΑ: 6ΗΝΝΟΡΡΞ-5ΟΡ

Πρώτη σελίδα του εγγράφου

Η απόφαση με ΑΔΑ 6ΗΝΝΟΡΡΞ-5ΟΡ δημοσιεύθηκε από την υπηρεσία ΤΑΜΕΙΟ ΕΠΙΚΟΥΡΙΚΗΣ ΑΣΦΑΛΙΣΗΣ ΠΡΟΝΟΙΑΣ ΑΠΑΣΧΟΛΟΥΜΕΝΩΝ ΣΤΑ ΣΩΜΑΤΑ ΑΣΦΑΛΕΙΑΣ (ΤΕΑΠΑΣΑ) » ΠΡΟΕΔΡΟΣ Δ.Σ. στις 2018-12-31. Ο τύπος της απόφασης είναι Άγνωστος και την υπέγραψε ο/η an unknown person.

Τακτικός Προϋπολογισμός
51
ΠΡΑΞΗ
Επιστροφή στην προηγούμενη σελίδα