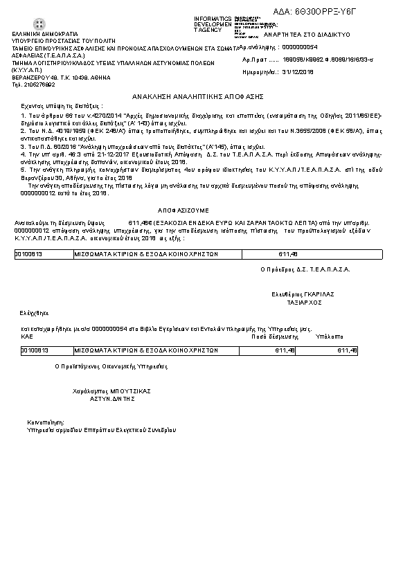
ΑΠΟΦΑΣΗ ΑΝΑΚΛΗΣΗΣ ΑΝΑΛΗΨΗΣ ΥΠΟΧΡΕΩΣΗΣ ΚΥΥΑΠ/ΤΕΑΠΑΣΑ ΚΑΕ 0813 ΠΟΣΟΥ 611,48ΕΥΡΩΑΔΑ: 6Θ30ΟΡΡΞ-Υ6Γ

Πρώτη σελίδα του εγγράφου

Η απόφαση με ΑΔΑ 6Θ30ΟΡΡΞ-Υ6Γ δημοσιεύθηκε από την υπηρεσία ΤΑΜΕΙΟ ΕΠΙΚΟΥΡΙΚΗΣ ΑΣΦΑΛΙΣΗΣ ΠΡΟΝΟΙΑΣ ΑΠΑΣΧΟΛΟΥΜΕΝΩΝ ΣΤΑ ΣΩΜΑΤΑ ΑΣΦΑΛΕΙΑΣ (ΤΕΑΠΑΣΑ) » ΠΡΟΕΔΡΟΣ Δ.Σ. στις 2018-12-31. Ο τύπος της απόφασης είναι Άγνωστος και την υπέγραψε ο/η an unknown person.

Τακτικός Προϋπολογισμός
54
ΠΡΑΞΗ
Επιστροφή στην προηγούμενη σελίδα