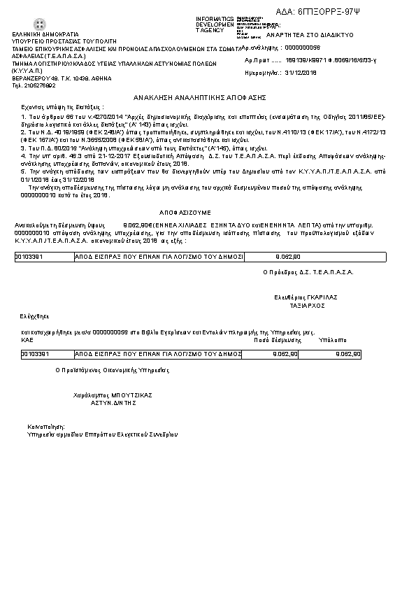
ΑΠΟΦΑΣΗ ΑΝΑΚΛΗΣΗΣ ΑΝΑΛΗΨΗΣ ΥΠΟΧΡΕΩΣΗΣ ΚΥΥΑΠ/ΤΕΑΠΑΣΑ ΚΑΕ 3391 ΠΟΣΟΥ 9.062,90ΕΥΡΩΑΔΑ: 6ΓΠΞΟΡΡΞ-97Ψ

Πρώτη σελίδα του εγγράφου

Η απόφαση με ΑΔΑ 6ΓΠΞΟΡΡΞ-97Ψ δημοσιεύθηκε από την υπηρεσία ΤΑΜΕΙΟ ΕΠΙΚΟΥΡΙΚΗΣ ΑΣΦΑΛΙΣΗΣ ΠΡΟΝΟΙΑΣ ΑΠΑΣΧΟΛΟΥΜΕΝΩΝ ΣΤΑ ΣΩΜΑΤΑ ΑΣΦΑΛΕΙΑΣ (ΤΕΑΠΑΣΑ) » ΠΡΟΕΔΡΟΣ Δ.Σ. στις 2018-12-31. Ο τύπος της απόφασης είναι Άγνωστος και την υπέγραψε ο/η an unknown person.

Τακτικός Προϋπολογισμός
56
ΠΡΑΞΗ
Επιστροφή στην προηγούμενη σελίδα