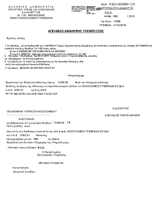
ΜΕΛΕΤΕΣ ΚΑΙ ΕΡΕΥΝΕΣ ΓΙΑ ΕΚΤ.ΕΡΑΔΑ: Ψ9ΩΟ4690ΒΨ-Ξ91

Πρώτη σελίδα του εγγράφου

Η απόφαση με ΑΔΑ Ψ9ΩΟ4690ΒΨ-Ξ91 δημοσιεύθηκε από την υπηρεσία ΝΟΜ.ΓΕΝ. ΝΟΣΟΚΟΜΕΙΟ ΓΡΕΒΕΝΩΝ » ΔΙΟΙΚΗΣΗ ΓΕΝΙΚΟΥ ΝΟΣΟΚΟΜΕΙΟΥ ΓΡΕΒΕΝΩΝ στις 2018-12-31. Ο τύπος της απόφασης είναι Άγνωστος και την υπέγραψε ο/η an unknown person.

Τακτικός Προϋπολογισμός
669
ΠΡΑΞΗ
Επιστροφή στην προηγούμενη σελίδα