ΑΝΑΤΡΟΠΗ ΠΟΣΟΥΑΔΑ: 6ΓΗΚ46907Ι-ΔΑ6

Πρώτη σελίδα του εγγράφου

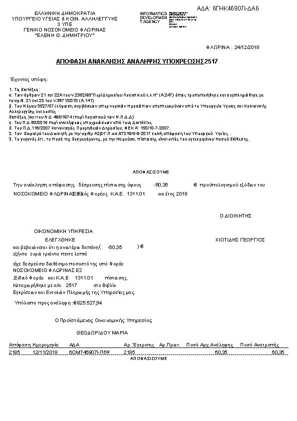
Η απόφαση με ΑΔΑ 6ΓΗΚ46907Ι-ΔΑ6 δημοσιεύθηκε από την υπηρεσία ΝΟΜ.ΓΕΝ. ΝΟΣΟΚΟΜΕΙΟ ΦΛΩΡΙΝΑΣ » ΔΙΟΙΚΗΤΙΚΗ στις 2018-12-24. Ο τύπος της απόφασης είναι Άγνωστος και την υπέγραψε ο/η an unknown person.

Τακτικός Προϋπολογισμός
2517
ΠΡΑΞΗ
Επιστροφή στην προηγούμενη σελίδα