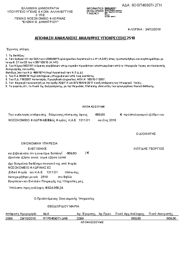
ΑΝΑΤΡΟΠΗ ΠΟΣΟΥΑΔΑ: 6ΟΘΠ46907Ι-2ΓΗ

Πρώτη σελίδα του εγγράφου

Η απόφαση με ΑΔΑ 6ΟΘΠ46907Ι-2ΓΗ δημοσιεύθηκε από την υπηρεσία ΝΟΜ.ΓΕΝ. ΝΟΣΟΚΟΜΕΙΟ ΦΛΩΡΙΝΑΣ » ΔΙΟΙΚΗΤΙΚΗ στις 2018-12-24. Ο τύπος της απόφασης είναι Άγνωστος και την υπέγραψε ο/η an unknown person.

Τακτικός Προϋπολογισμός
2518
ΠΡΑΞΗ
Επιστροφή στην προηγούμενη σελίδα