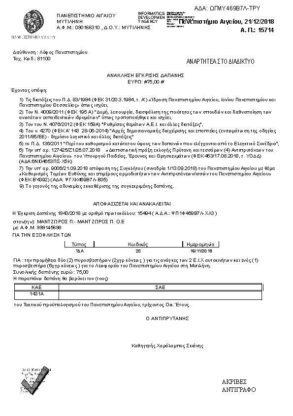
ΑΝΑΚΛΗΣΗ ΕΓΚΡΙΣΗΣ ΔΑΠΑΝΗΣ Κ/Δ:1843/2018.ΑΔΑ: ΩΓΜΥ469Β7Λ-ΤΡΥ

Πρώτη σελίδα του εγγράφου

Η απόφαση με ΑΔΑ ΩΓΜΥ469Β7Λ-ΤΡΥ δημοσιεύθηκε από την υπηρεσία ΠΑΝΕΠΙΣΤΗΜΙΟ ΑΙΓΑΙΟΥ » ΠΕΡΙΦΕΡΕΙΑΚΗ ΔΙΕΥΘΥΝΣΗ ΜΥΤΙΛΗΝΗΣ στις 2018-12-21. Ο τύπος της απόφασης είναι Άγνωστος και την υπέγραψε ο/η .

ΠΡΑΞΗ
Επιστροφή στην προηγούμενη σελίδα