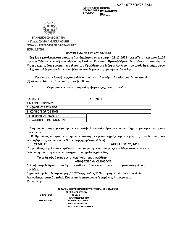
Καθαρισμός και συντήρηση καλοριφέρ στις σχολικές μονάδεςΑΔΑ: 6ΞΖ5ΟΚ26-6ΛΝ

Πρώτη σελίδα του εγγράφου

Η απόφαση με ΑΔΑ 6ΞΖ5ΟΚ26-6ΛΝ δημοσιεύθηκε από την υπηρεσία ΣΧΟΛΙΚΕΣ ΕΠΙΤΡΟΠΕΣ ΔΗΜΟΥ ΜΑΚΡΑΚΩΜΗΣ » ΣΧΟΛΙΚΗ ΕΠΙΤΡΟΠΗ ΠΡΩΤΟΒΑΘΜΙΑΣ ΕΚΠΑΙΔΕΥΣΗΣ ΔΗΜΟΥ ΜΑΚΡΑΚΩΜΗΣ στις 2018-12-20. Ο τύπος της απόφασης είναι Άγνωστος και την υπέγραψε ο/η .

ΠΡΑΞΗ
Επιστροφή στην προηγούμενη σελίδα