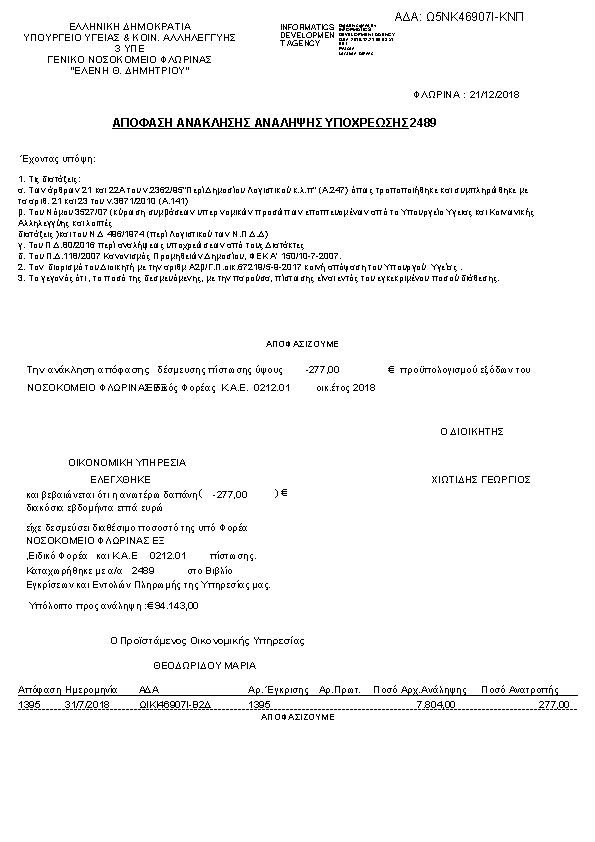
ΑΝΑΤΡΟΠΗ ΠΟΣΟΥΑΔΑ: Ω5ΝΚ46907Ι-ΚΝΠ

Πρώτη σελίδα του εγγράφου

Η απόφαση με ΑΔΑ Ω5ΝΚ46907Ι-ΚΝΠ δημοσιεύθηκε από την υπηρεσία ΝΟΜ.ΓΕΝ. ΝΟΣΟΚΟΜΕΙΟ ΦΛΩΡΙΝΑΣ » ΔΙΟΙΚΗΤΙΚΗ στις 2018-12-21. Ο τύπος της απόφασης είναι Άγνωστος και την υπέγραψε ο/η an unknown person.

Τακτικός Προϋπολογισμός
2489
ΠΡΑΞΗ
Επιστροφή στην προηγούμενη σελίδα