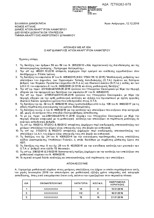
Χορήγηση μισθολογικών κλιμακίων μηνός Ιανουαρίου 2019.ΑΔΑ: 7ΣΤΘΩ62-Θ79

Πρώτη σελίδα του εγγράφου

Η απόφαση με ΑΔΑ 7ΣΤΘΩ62-Θ79 δημοσιεύθηκε από την υπηρεσία Δήμος Αγίων Αναργύρων - Καματερού » ΔΙΕΥΘΥΝΣΗ ΔΙΟΙΚΗΤΙΚΩΝ ΥΠΗΡΕΣΙΩΝ στις 2018-12-12. Ο τύπος της απόφασης είναι Άγνωστος και την υπέγραψε ο/η .

Πράξη Οργάνου Διοίκησης ΟΤΑ Α’ και Β’...
ΠΡΑΞΗ
Επιστροφή στην προηγούμενη σελίδα