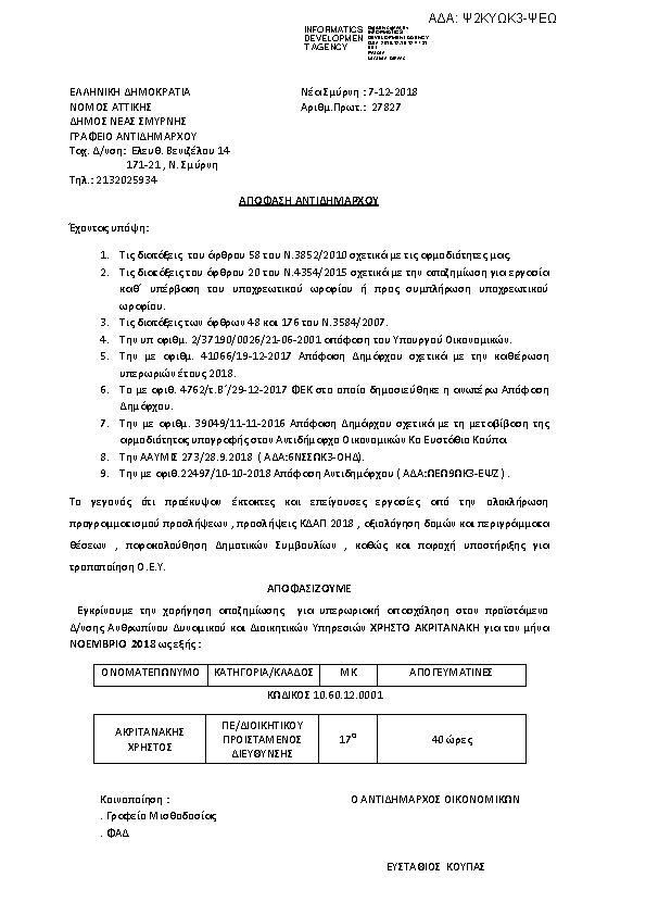
Υπερωρίες μηνός Νοεμβρίου 2018 Πρ/νου Δ/νσης Ανθρωπινου Δυναμικού & Διοικητικών ΥπηρεσιώνΑΔΑ: Ψ2ΚΥΩΚ3-ΨΕΩ

Πρώτη σελίδα του εγγράφου

Η απόφαση με ΑΔΑ Ψ2ΚΥΩΚ3-ΨΕΩ δημοσιεύθηκε από την υπηρεσία Δήμος Νέας Σμύρνης στις 2018-12-10. Ο τύπος της απόφασης είναι Άγνωστος και την υπέγραψε ο/η an unknown person.

ΠΡΑΞΗ
Επιστροφή στην προηγούμενη σελίδα