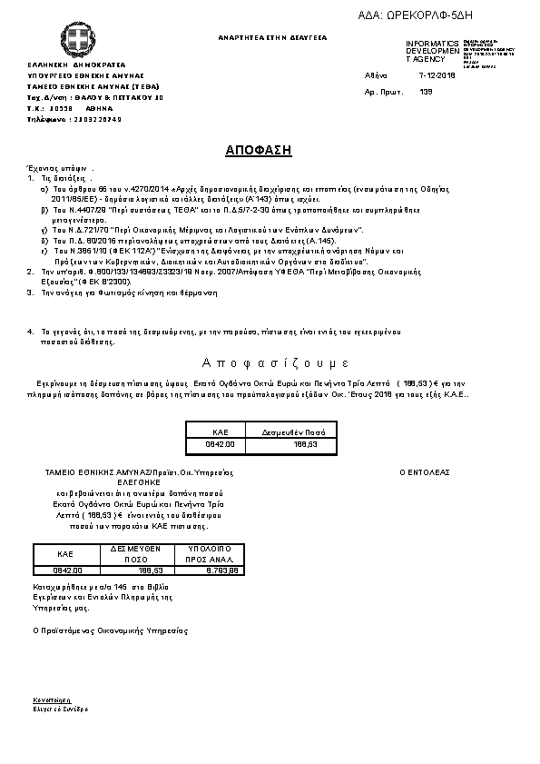
Φωτισμός κίνηση και θέρμανσηΑΔΑ: ΩΡΕΚΟΡΛΦ-5ΔΗ

Πρώτη σελίδα του εγγράφου

Η απόφαση με ΑΔΑ ΩΡΕΚΟΡΛΦ-5ΔΗ δημοσιεύθηκε από την υπηρεσία ΤΑΜΕΙΟ ΕΘΝΙΚΗΣ ΑΜΥΝΑΣ » ΓΕΝΙΚΟ ΕΠΙΤΕΛΕΙΟ ΣΤΡΑΤΟΥ/ΔΝΤΗΣ Γ΄ ΚΛΑΔΟΥ στις 2018-12-07. Ο τύπος της απόφασης είναι Άγνωστος και την υπέγραψε ο/η an unknown person.

Ίδια Έσοδα
139
ΠΡΑΞΗ
Επιστροφή στην προηγούμενη σελίδα