ΑΝΑΚΛΗΣΗ ΟΡΙΣΜΕΝΟΥ ΠΟΣΟΥ ΛΟΓΩ ΕΚΚΑΘΑΡΙΣΗΣ ΑΠΟ ΤΟ ΤΑΜΕΙΟΑΔΑ: 6ΚΨΕ46904Ρ-ΧΔ9

Πρώτη σελίδα του εγγράφου

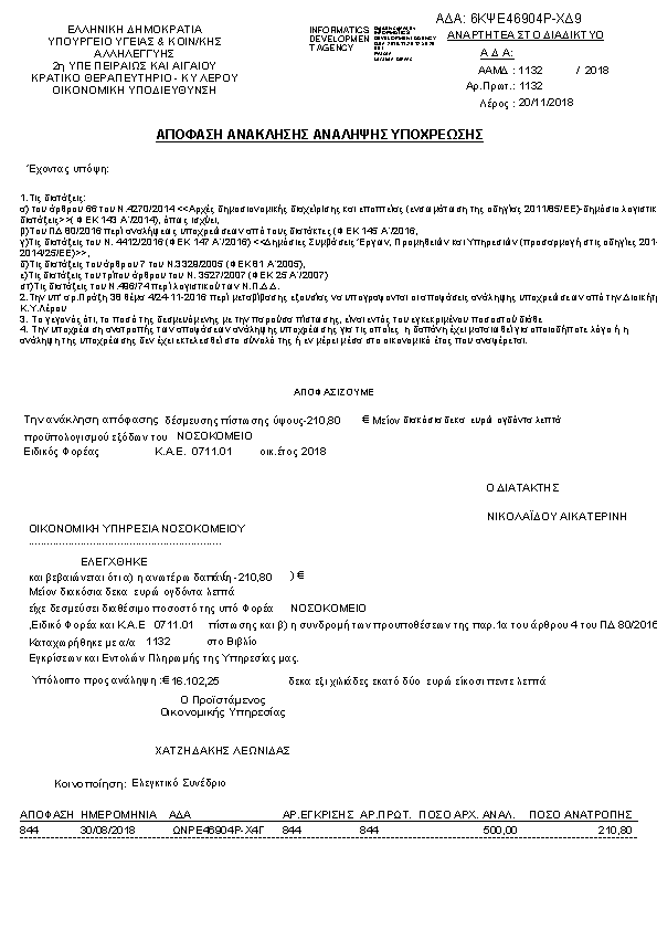
Η απόφαση με ΑΔΑ 6ΚΨΕ46904Ρ-ΧΔ9 δημοσιεύθηκε από την υπηρεσία ΚΡΑΤΙΚΟ ΘΕΡΑΠΕΥΤΗΡΙΟ- Κ.Υ. ΛΕΡΟΥ » ΔΙΟΙΚΗΤΗΣ στις 2018-11-20. Ο τύπος της απόφασης είναι Άγνωστος και την υπέγραψε ο/η .

Τακτικός Προϋπολογισμός
1132
ΠΡΑΞΗ
Επιστροφή στην προηγούμενη σελίδα