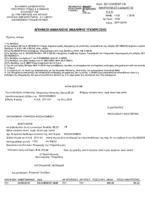
ΑΝΑΚΛΗΣΗ ΟΡΙΣΜΕΝΟΥ ΠΟΣΟΥ ΛΟΓΩ ΕΚΚΑΘΑΡΙΣΗΣ ΑΠΟ ΤΟ ΤΑΜΕΙΟΑΔΑ: 6Α1Ο46904Ρ-ΗΙΙ

Πρώτη σελίδα του εγγράφου

Η απόφαση με ΑΔΑ 6Α1Ο46904Ρ-ΗΙΙ δημοσιεύθηκε από την υπηρεσία ΚΡΑΤΙΚΟ ΘΕΡΑΠΕΥΤΗΡΙΟ- Κ.Υ. ΛΕΡΟΥ » ΔΙΟΙΚΗΤΗΣ στις 2018-11-20. Ο τύπος της απόφασης είναι Άγνωστος και την υπέγραψε ο/η .

Τακτικός Προϋπολογισμός
1133
ΠΡΑΞΗ
Επιστροφή στην προηγούμενη σελίδα