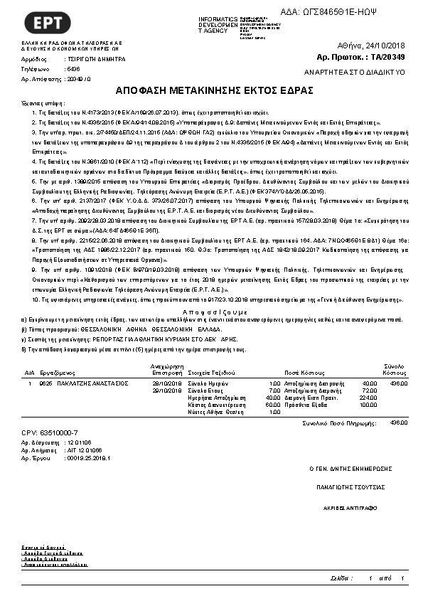
ΑΠΟΦΑΣΗ ΜΕΤΑΚΙΝΗΣΗΣ ΕΚΤΟΣ ΕΔΡΑΣΑΔΑ: ΩΓΣ8465Θ1Ε-ΗΩΨ

Πρώτη σελίδα του εγγράφου

Η απόφαση με ΑΔΑ ΩΓΣ8465Θ1Ε-ΗΩΨ δημοσιεύθηκε από την υπηρεσία ΕΛΛΗΝΙΚΗ ΡΑΔΙΟΦΩΝΙΑ ΤΗΛΕΟΡΑΣΗ ΑΝΩΝΥΜΗ ΕΤΑΙΡΕΙΑ (Ε.Ρ.Τ. Α.Ε.) στις 2018-10-24. Ο τύπος της απόφασης είναι Άγνωστος και την υπέγραψε ο/η an unknown person.

ΠΡΑΞΗ
Επιστροφή στην προηγούμενη σελίδα